Tall og algebra
Fra læreplanen
Tal og algebra
Hovudområdet tal og algebra handlar om å utvikle talforståing og innsikt i korleis tal og talbehandling inngår i system og mønster. Med tal kan ein kvantifisere mengder og storleikar. Området tal omfattar både heile tal, brøk, desimaltal og prosent. Algebra i skolen generaliserer talrekning ved at bokstavar eller andre symbol representerer tal. Det gjev høve til å beskrive og analysere mønster og samanhengar. Algebra blir òg nytta i samband med hovudområda geometri og funksjonar.
Mål for opplæringa er at eleven skal kunne
Tal og algebra
Hovudområdet tal og algebra handlar om å utvikle talforståing og innsikt i korleis tal og talbehandling inngår i system og mønster. Med tal kan ein kvantifisere mengder og storleikar. Området tal omfattar både heile tal, brøk, desimaltal og prosent. Algebra i skolen generaliserer talrekning ved at bokstavar eller andre symbol representerer tal. Det gjev høve til å beskrive og analysere mønster og samanhengar. Algebra blir òg nytta i samband med hovudområda geometri og funksjonar.
Mål for opplæringa er at eleven skal kunne
Regning
Mål
Å kunne forstå
Utregning av paranteser
Vi skal prøve å se på noen geometriske forklaringer på utregning av paranteser. Vi starter med figuren under

Aktivitet
Under ser du en figur som skal illustrere a(a-2)

Aktivitet
Brøkregning
http://www.matematikk.net/klassetrinn/klasse08/broek.php
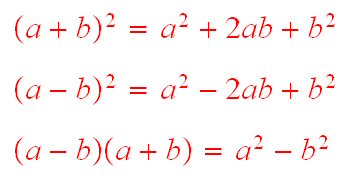
Kvadratsetningene

Aktivitet
Likningssett

I Bankok får du tilbud fra to rickshaw-kjørere. De kommer med hvert sitt tilbud. Hos den ene må du betale 30 kroner for å sette deg inn og 12 kroner per kilometer. Den andre tilbyr deg 60 kroner i oppstart og bare 9 kroner per kilometer.
Hvem bør du velge?